BusphotoBUSPHOTO

Picture Statistics

1183 KB


Picture ID:706882
File Size:1183 KB
Author:busfotografie_leandro_germann
Publication Date:21.12.2024 14:23 EET
Days in Database:419
Unique views:262
Comments:0

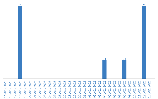
Viewing statistics by date