BusphotoBUSPHOTO

Picture Statistics

390 KB


Picture ID:707182
File Size:390 KB
Author:ToBen
Publication Date:21.12.2024 22:58 EET
Days in Database:369
Unique views:155
Comments:0

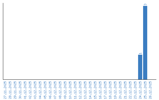
Viewing statistics by date