BusphotoBUSPHOTO

Picture Statistics

1023 KB


Picture ID:711273
File Size:1023 KB
Author:uferlos88
Publication Date:01.01.2025 19:53 EET
Days in Database:395
Unique views:192
Comments:0

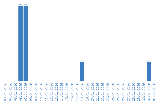
Viewing statistics by date