BusphotoBUSPHOTO

Picture Statistics

446 KB


Picture ID:71187
File Size:446 KB
Author:timoffey.dp
Publication Date:26.03.2013 12:48 EET
Days in Database:4706
Unique views:399
Comments:0

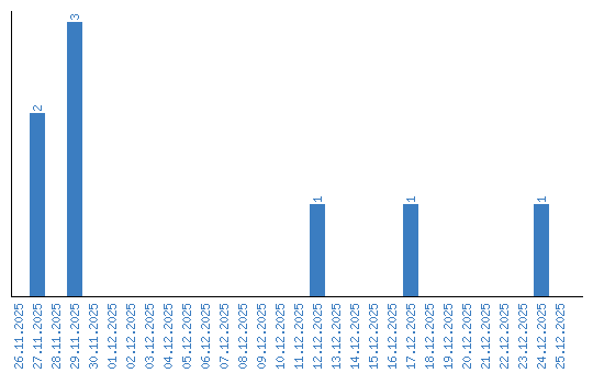
Viewing statistics by date