BusphotoBUSPHOTO

Statistiques d'images

696 KO


ID de l'image:712148
Taille du fichier:696 KO
Auteur:Aleksi
Date de publication:03.01.2025 16:43 EET
Jours dans la base de données:357
Vues uniques:92
Commentaires:0

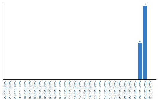
Affichage des statistiques par date