BusphotoBUSPHOTO

Picture Statistics

300 KB


Picture ID:712309
File Size:300 KB
Author:KRAKOMOBILA
Publication Date:03.01.2025 23:01 EET
Days in Database:423
Unique views:134
Comments:0

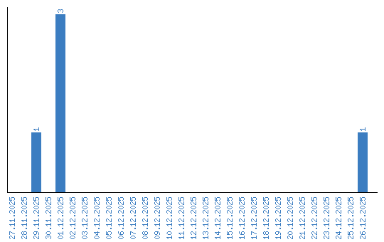
Viewing statistics by date