BusfotoBUSFOTO

Bildinformationen

469 KB


Foto-ID:716296
Dateigröße:469 KB
Aufgenommen von:Артём Дмитренко
Veröffentlicht am:13.01.2025 21:29 EET
Tage seit Veröffentlichung:346
Aufrufe:156
Kommentare:0

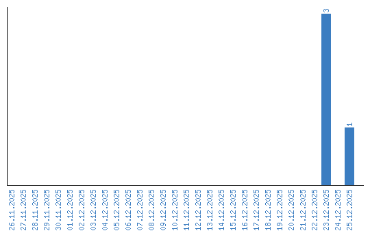
Aufrufestatistik (Tage)