BusphotoBUSPHOTO

Picture Statistics

290 KB


Picture ID:716575
File Size:290 KB
Author:KRAKOMOBILA
Publication Date:14.01.2025 19:03 EET
Days in Database:345
Unique views:124
Comments:0

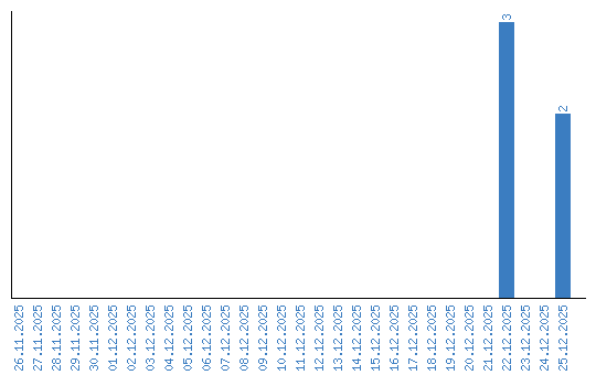
Viewing statistics by date