BusphotoBUSPHOTO

Picture Statistics

166 KB


Picture ID:718638
File Size:166 KB
Author:rostik
Publication Date:18.01.2025 19:19 EET
Days in Database:388
Unique views:223
Comments:0

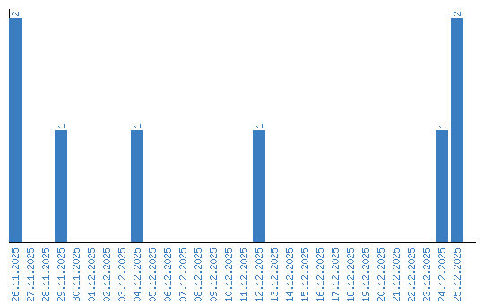
Viewing statistics by date