BusphotoBUSPHOTO

Picture Statistics

398 KB


Picture ID:72506
File Size:398 KB
Author:chaker
Publication Date:08.04.2013 22:19 EET
Days in Database:4644
Unique views:407
Comments:0

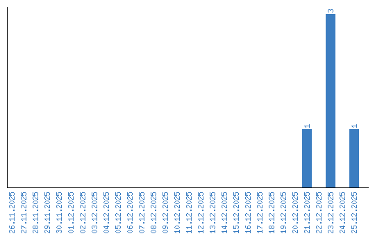
Viewing statistics by date