BusphotoBUSPHOTO

Statistika obrázku

3916 kB


Identifikátor obrázku:726446
Velikost souboru:3916 kB
Autor:Sydney
Zveřejněno:09.02.2025 02:54 EET
Nachází se na stránkách (dní):350
Jednotlivých zhlédnutí:195
Komentářů:0

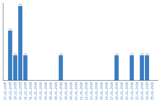
Zhlédnutí po jednotlivých dnech