BusphotoBUSPHOTO

Picture Statistics

2109 KB


Picture ID:728882
File Size:2109 KB
Author:BusfahrerTom
Publication Date:16.02.2025 14:23 EET
Days in Database:350
Unique views:264
Comments:0

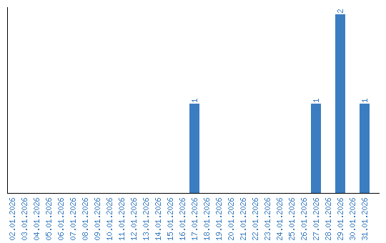
Viewing statistics by date