BusphotoBUSPHOTO

Iнфармацыя аб малюнку

609 КБ


Ідэнтыфікатар малюнка:731223
Памер файла:609 КБ
Аўтар:Владислав Захаров
Апублікавана:24.02.2025 12:18 EET
Знаходзіцца на сайце, дзён:354
Унікальных праглядаў:210
Каментароў:0

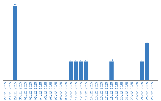
Дынаміка праглядаў па датах