BusphotoBUSPHOTO

Statistiques d'images

370 KO


ID de l'image:73286
Taille du fichier:370 KO
Auteur:chaker
Date de publication:14.04.2013 22:11 EET
Jours dans la base de données:4672
Vues uniques:350
Commentaires:2

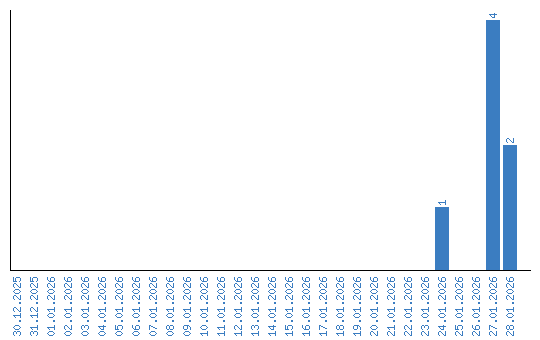
Affichage des statistiques par date