BusphotoBUSPHOTO

Informatsioon foto kohta

4488 KB


Pildi ID:733134
Faili suurus:4488 KB
Autor:Busspotter_RNN
Avaldatud:01.03.2025 23:23 EET
Päevi saidil:304
Unikaalseid vaatamisi:272
Kommentaare:0

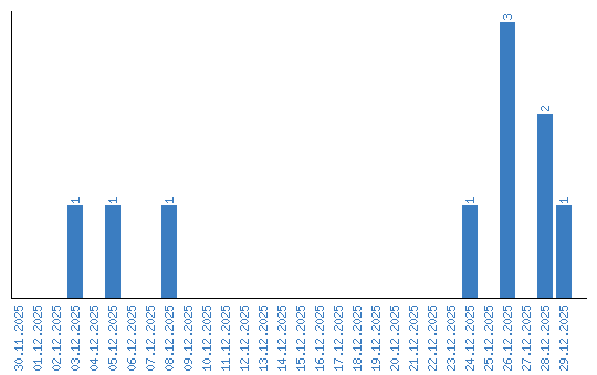
Vaatamiste statistika kuupäeviti