BusphotoBUSPHOTO

Picture Statistics

1858 KB


Picture ID:733678
File Size:1858 KB
Author:erb519
Publication Date:03.03.2025 18:47 EET
Days in Database:315
Unique views:410
Comments:0

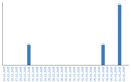
Viewing statistics by date