BusphotoBUSPHOTO

Picture Statistics

665 KB


Picture ID:737530
File Size:665 KB
Author:spotterHB
Publication Date:15.03.2025 20:06 EET
Days in Database:320
Unique views:125
Comments:0

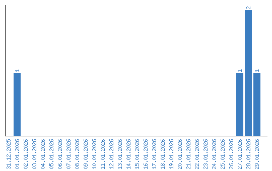
Viewing statistics by date