BusphotoBUSPHOTO

Picture Statistics

4203 KB


Picture ID:738776
File Size:4203 KB
Author:Block
Publication Date:19.03.2025 17:32 EET
Days in Database:281
Unique views:81
Comments:0

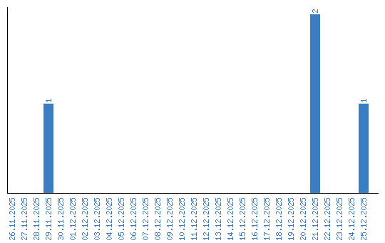
Viewing statistics by date