BusphotoBUSPHOTO.EU

Statystyki zdjęcia

1282 kB


Identyfikator zdjęcia:750546
Rozmiar pliku:1282 kB
Autor:Janusz2006tv_autobusy_tramwaje
Data publikacji:19.04.2025 22:30 EET
Liczba wyświetleń dzisiaj:288
Łączna ilość wyświetleń:135
Komentarze:0

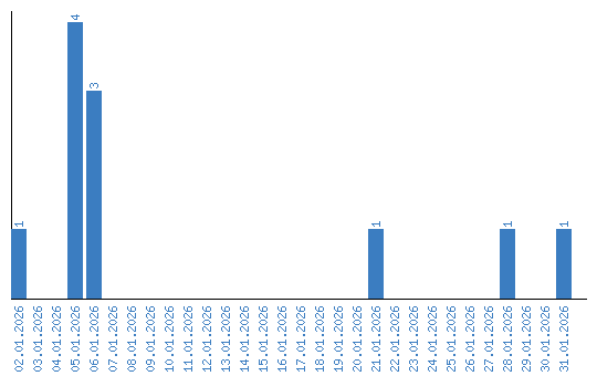
Liczba oglądających według dat