BusphotoBUSPHOTO

Picture Statistics

565 KB


Picture ID:751176
File Size:565 KB
Fotografato da:Valius Kedainietis
Publication Date:21.04.2025 18:20 EET
Days in Database:248
Unique views:105
Comments:0

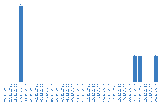
Viewing statistics by date