BusphotoBUSPHOTO

Picture Statistics

645 KB


Picture ID:752698
File Size:645 KB
Author:ТИСУ
Publication Date:25.04.2025 17:31 EET
Days in Database:225
Unique views:111
Comments:0

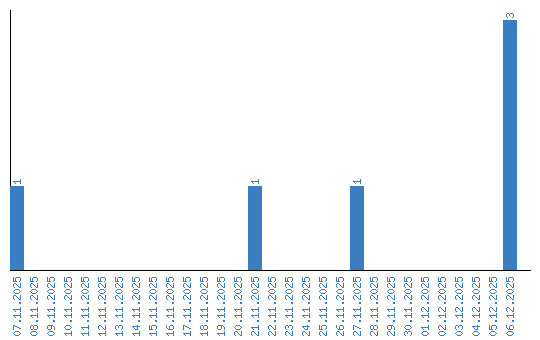
Viewing statistics by date