BusphotoBUSPHOTO

Picture Statistics

304 KB


Picture ID:755866
File Size:304 KB
Author:Артём Дмитренко
Publication Date:04.05.2025 21:42 EET
Days in Database:285
Unique views:121
Comments:0

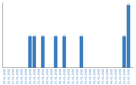
Viewing statistics by date