BusphotoBUSPHOTO

Picture Statistics

4352 KB


Picture ID:756015
File Size:4352 KB
Author:Sydney
Publication Date:05.05.2025 05:36 EET
Days in Database:283
Unique views:148
Comments:0

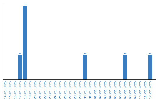
Viewing statistics by date