BusphotoBUSPHOTO

Picture Statistics

345 KB


Picture ID:75718
File Size:345 KB
Author:Тихий
Publication Date:08.05.2013 19:38 EET
Days in Database:4631
Unique views:193
Comments:0

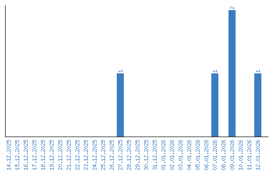
Viewing statistics by date