BusphotoBUSPHOTO

Picture Statistics

338 KB


Picture ID:75782
File Size:338 KB
Author:Lauri79
Publication Date:09.05.2013 10:54 EET
Days in Database:4631
Unique views:159
Comments:0

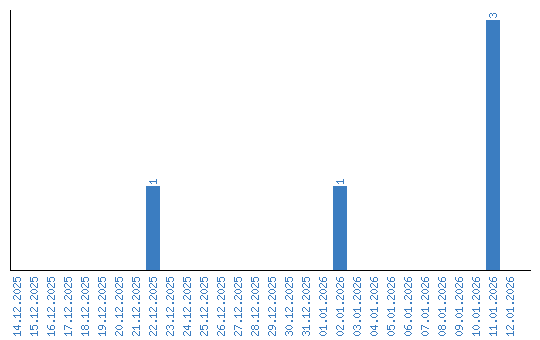
Viewing statistics by date