BusphotoBUSPHOTO

Statistiques d'images

13835 KO


ID de l'image:757854
Taille du fichier:13835 KO
Auteur:Jan Švaříček
Date de publication:09.05.2025 22:15 EET
Jours dans la base de données:295
Vues uniques:152
Commentaires:0

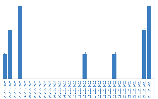
Affichage des statistiques par date