BusfotoBUSFOTO

Bildinformationen

183 KB


Foto-ID:758698
Dateigröße:183 KB
Aufgenommen von:BusfotosAustria
Veröffentlicht am:11.05.2025 13:46 EET
Tage seit Veröffentlichung:230
Aufrufe:51
Kommentare:0

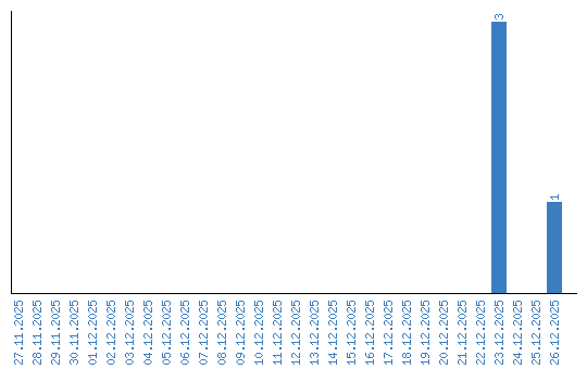
Aufrufestatistik (Tage)