BusphotoBUSPHOTO

Picture Statistics

387 KB


Picture ID:759122
File Size:387 KB
Author:ToBen
Publication Date:12.05.2025 12:57 EET
Days in Database:263
Unique views:262
Comments:0

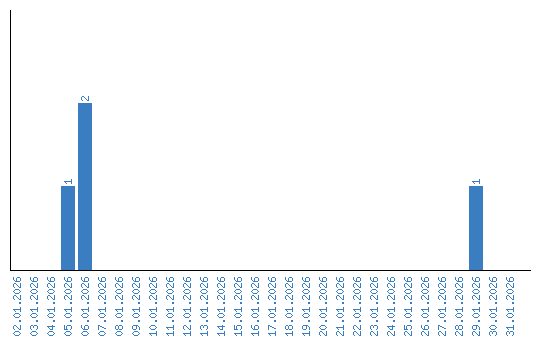
Viewing statistics by date