BusphotoBUSPHOTO

Picture Statistics

304 KB


Picture ID:761903
File Size:304 KB
Author:Артём Дмитренко
Publication Date:18.05.2025 20:51 EET
Days in Database:257
Unique views:95
Comments:0

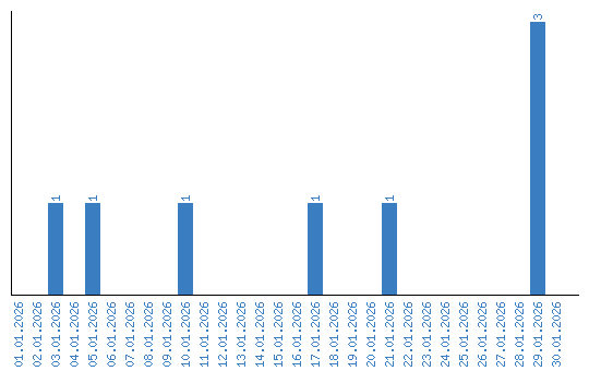
Viewing statistics by date