BusphotoBUSPHOTO

Статистика по зображенню

3343 КБ


Ідентифікатор зображення:763337
Розмір файлу:3343 КБ
Автор:Dmitry627
Опубліковано:22.05.2025 17:51 EET
Знаходиться на сайті, днів:253
Унікальних переглядів:62
Коментарів:0

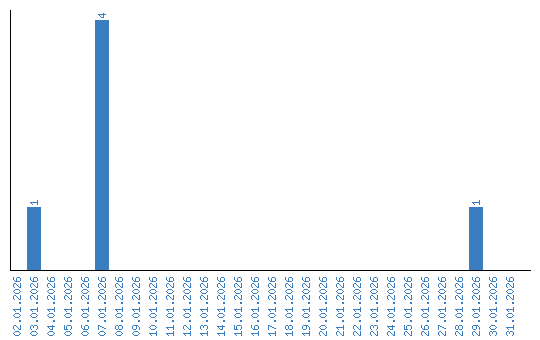
Динаміка переглядів за датами