BusphotoBUSPHOTO

Statistiques d'images

322 KO


ID de l'image:7656
Taille du fichier:322 KO
Auteur:bob2005
Date de publication:29.05.2011 10:27 EET
Jours dans la base de données:5324
Vues uniques:305
Commentaires:0

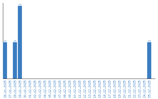
Affichage des statistiques par date