BusphotoBUSPHOTO

Picture Statistics

432 KB


Picture ID:766516
File Size:432 KB
Author:beffan
Publication Date:28.05.2025 17:51 EET
Days in Database:216
Unique views:115
Comments:0

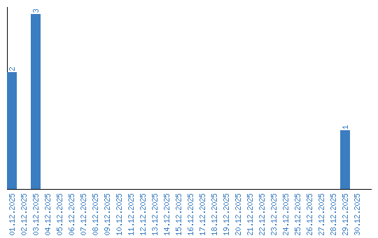
Viewing statistics by date