BusphotoBUSPHOTO

Statistika obrázku

407 kB


Identifikátor obrázku:768028
Velikost souboru:407 kB
Autor:ToBen
Zveřejněno:31.05.2025 15:21 EET
Nachází se na stránkách (dní):209
Jednotlivých zhlédnutí:76
Komentářů:0

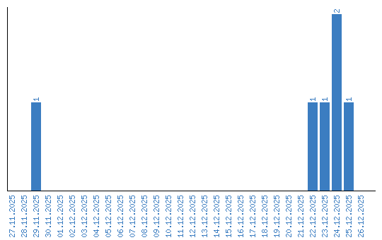
Zhlédnutí po jednotlivých dnech