BusphotoBUSPHOTO

Picture Statistics

465 KB


Picture ID:770279
File Size:465 KB
Author:ToBen
Publication Date:06.06.2025 17:21 EET
Days in Database:202
Unique views:193
Comments:0

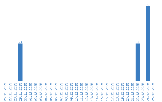
Viewing statistics by date