BusphotoBUSPHOTO

Picture Statistics

4787 KB


Picture ID:772295
File Size:4787 KB
Author:BusBas
Publication Date:10.06.2025 21:48 EET
Days in Database:239
Unique views:64
Comments:0

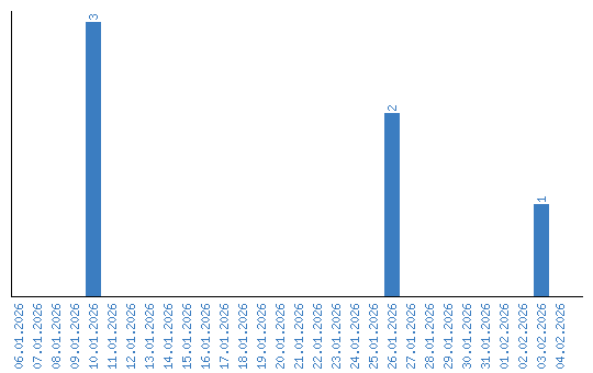
Viewing statistics by date