BusphotoBUSPHOTO

Picture Statistics

264 KB


Picture ID:775523
File Size:264 KB
Yazar:BusfotosAustria
Publication Date:19.06.2025 15:18 EET
Days in Database:191
Unique views:67
Comments:0

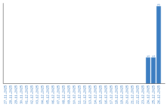
Viewing statistics by date