BusphotoBUSPHOTO

Picture Statistics

920 KB


Picture ID:777219
File Size:920 KB
Author:said
Publication Date:22.06.2025 23:38 EET
Days in Database:186
Unique views:39
Comments:0

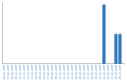
Viewing statistics by date