BusphotoBUSPHOTO

Picture Statistics

325 KB


Picture ID:778740
File Size:325 KB
Author:rostik
Publication Date:26.06.2025 23:31 EET
Days in Database:217
Unique views:92
Comments:0

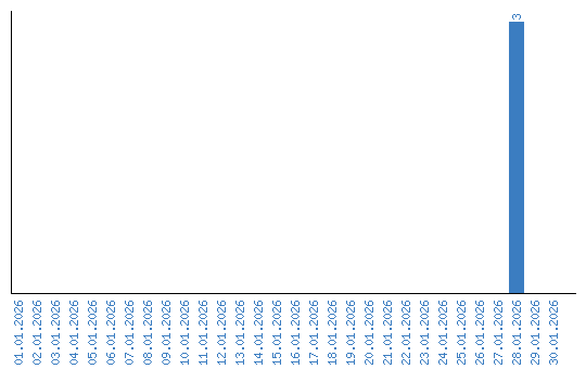
Viewing statistics by date