BusphotoBUSPHOTO

Picture Statistics

698 KB


Picture ID:780632
File Size:698 KB
Author:DerJan162
Publication Date:30.06.2025 18:42 EET
Days in Database:228
Unique views:103
Comments:0

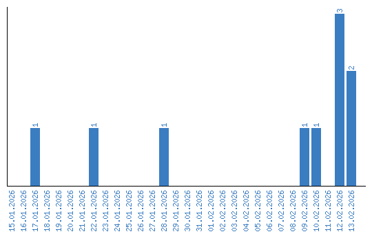
Viewing statistics by date