BusphotoBUSPHOTO

Picture Statistics

479 KB


Picture ID:780703
File Size:479 KB
Author:Valius Kedainietis
Publication Date:30.06.2025 21:01 EET
Days in Database:179
Unique views:60
Comments:0

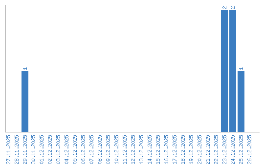
Viewing statistics by date