BusphotoBUSPHOTO

Picture Statistics

1131 KB


Picture ID:782255
File Size:1131 KB
Author:Kattowitzer
Publication Date:05.07.2025 13:49 EET
Days in Database:222
Unique views:82
Comments:0

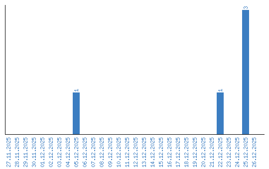
Viewing statistics by date