BusfotoBUSFOTO

Bildinformationen

1999 KB


Foto-ID:785344
Dateigröße:1999 KB
Aufgenommen von:blackpictures_oeffis
Veröffentlicht am:12.07.2025 13:51 EET
Tage seit Veröffentlichung:224
Aufrufe:116
Kommentare:0

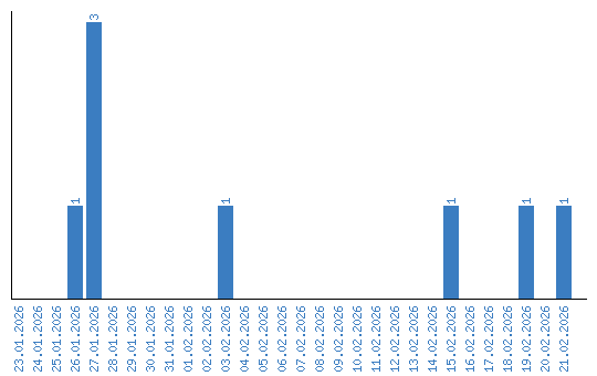
Aufrufestatistik (Tage)