BusphotoBUSPHOTO

Picture Statistics

4359 KB


Picture ID:789711
File Size:4359 KB
Author:Busdriver92
Publication Date:24.07.2025 20:21 EET
Days in Database:154
Unique views:38
Comments:0

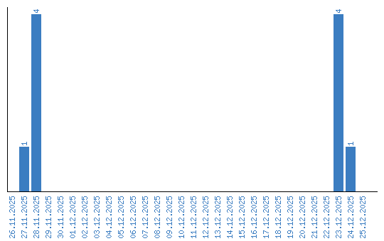
Viewing statistics by date