BusphotoBUSPHOTO

Picture Statistics

480 KB


Picture ID:790850
File Size:480 KB
Author:POP
Publication Date:27.07.2025 08:35 EET
Days in Database:152
Unique views:65
Comments:0

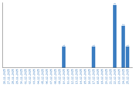
Viewing statistics by date