BusphotoBUSPHOTO

Picture Statistics

402 KB


Picture ID:791395
File Size:402 KB
Author:POP
Publication Date:28.07.2025 20:29 EET
Days in Database:193
Unique views:64
Comments:0

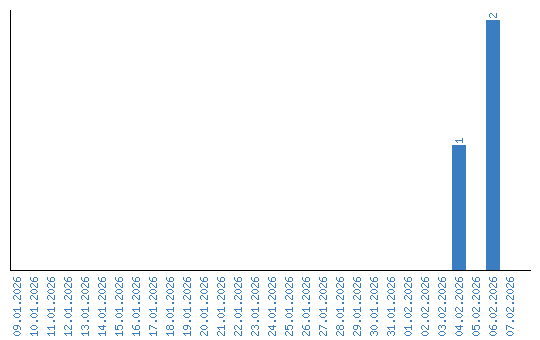
Viewing statistics by date