BusphotoBUSPHOTO

Picture Statistics

514 KB


Picture ID:791848
File Size:514 KB
Author:Камил Зеленодольский
Publication Date:29.07.2025 20:13 EET
Days in Database:212
Unique views:79
Comments:0

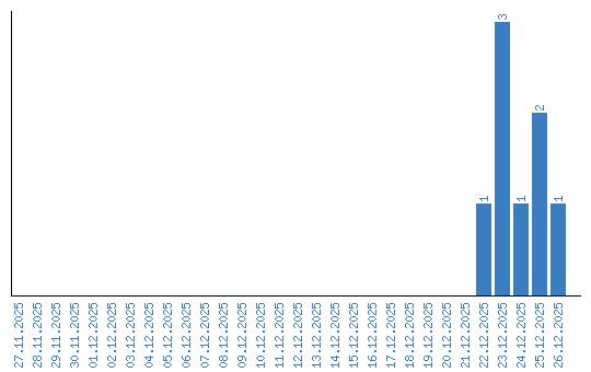
Viewing statistics by date