BusphotoBUSPHOTO

Picture Statistics

381 KB


Picture ID:793160
File Size:381 KB
Author:ToBen
Publication Date:01.08.2025 21:21 EET
Days in Database:182
Unique views:29
Comments:0

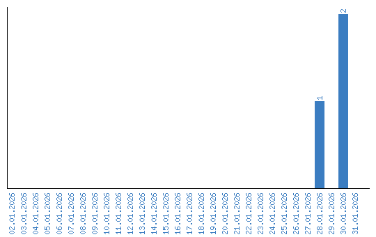
Viewing statistics by date