BusphotoBUSPHOTO

Picture Statistics

454 KB


Picture ID:793790
File Size:454 KB
Author:ToBen
Publication Date:03.08.2025 14:27 EET
Days in Database:145
Unique views:73
Comments:0

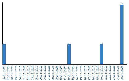
Viewing statistics by date