BusphotoBUSPHOTO

Picture Statistics

7861 KB


Picture ID:795875
File Size:7861 KB
Author:Transspotter
Publication Date:09.08.2025 19:14 EET
Days in Database:188
Unique views:80
Comments:0

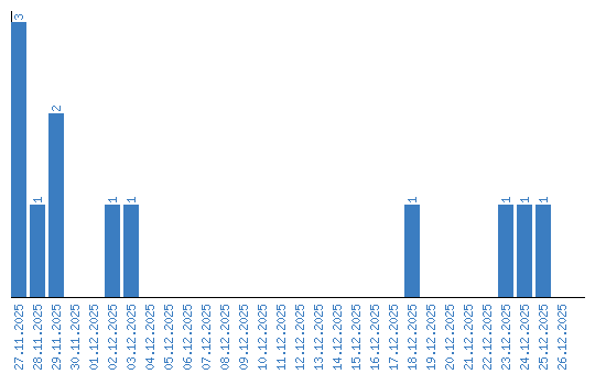
Viewing statistics by date