BusphotoBUSPHOTO

Picture Statistics

655 KB


Picture ID:796560
File Size:655 KB
Author:DerJan162
Publication Date:10.08.2025 22:16 EET
Days in Database:187
Unique views:186
Comments:0

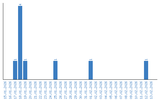
Viewing statistics by date